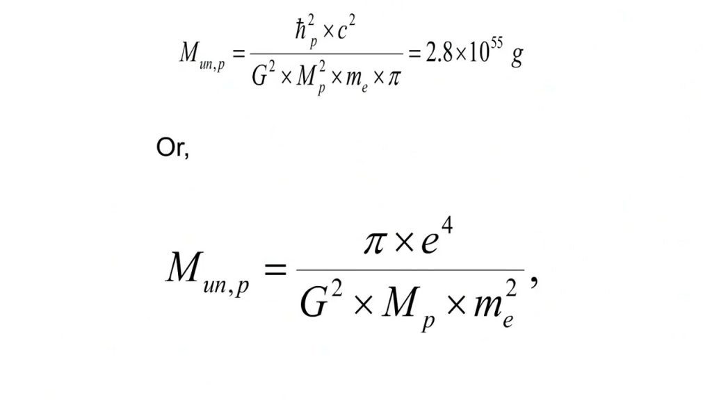
The Mass of the Universe

Explore the heart of quantum mysteries with Dr. Kiril Chukanov as he unveils the mathematical formulas behind the mass…
Universal Anti-Gravitation

Join us on a cerebral journey into the depths of anti-gravitation with Chukanov Energy’s groundbreaking video…
World Gravity Constant G

Embark on a mind-bending exploration of the fundamental laws governing our universe in our latest video. Delve into the…
The Speed of Light

Embark on an illuminating journey into the heart of physics with Chukanov Energy’s latest video, “The Speed of Light.” This…
World Constants

Explore the quantum world’s core constants in this video, with a spotlight on Ao,p, the Bohr radius. ..
Quantum macro teleportation

Explore the mysteries of quantum teleportation in this video. This short film presents the phenomenon…
Quantum Effect #4 – Quantum Excitation

Embark on a scientific odyssey like never before with our latest masterpiece, Quantum Effect #4….
Graph #1

In “Chart #1” we take you on a detailed journey through the intricacies of the chart, explaining how…
Quantum Effect #5 – Quantum Pseudo Image

Dive into the enigmatic realm of quantum phenomena with our latest video, Quantum Effect #5!..
Quantum Efect #2 – Macro Interaction

Journey deep into the heart of quantum mechanics as we uncover the complexities of particle interaction…



